返回少儿歌谱

频道主页

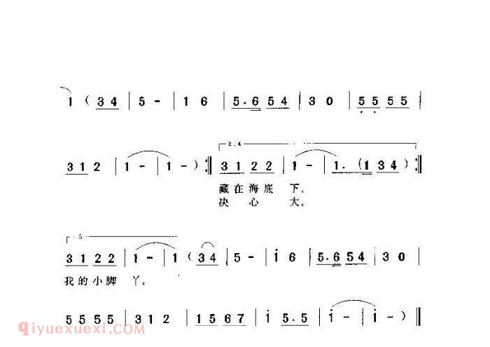
儿童歌曲《浪花亲我的小脚丫》简谱

佚名  网络 
儿童歌曲《浪花亲我的小脚丫》简谱
儿童歌曲《浪花亲我的小脚丫》简谱
儿童歌曲《浪花亲我的小脚丫》简谱
儿童歌曲《浪花亲我的小脚丫》简谱

儿童歌曲《浪花亲我的小脚丫》简谱

少儿歌谱

美声歌曲谱《祖国颂》混声合唱

美声歌曲谱《祖国颂》混声合唱

五线谱集

儿童歌曲简谱[老师的爱]张名河词 雷雨声曲、合唱

儿童歌曲简谱[老师的爱]张名河词 雷雨声曲、合唱

合唱歌谱

少儿合唱歌曲【鳟鱼】简谱

少儿合唱歌曲【鳟鱼】简谱

少儿歌谱

外国情歌简谱[山楂树]

外国情歌简谱[山楂树]

外国歌谱

中国情歌简谱[忘情水]

中国情歌简谱[忘情水]

歌曲简谱

中国情歌简谱[永远]陈大力 词

中国情歌简谱[永远]陈大力 词

歌曲简谱

少儿合唱歌曲【铃儿响叮当】简谱

少儿合唱歌曲【铃儿响叮当】简谱

少儿歌谱

混声合唱[在水一方]简谱与五线谱两版本

混声合唱[在水一方]简谱与五线谱两版本

合唱歌谱

中国情歌简谱[康定情歌]

中国情歌简谱[康定情歌]

歌曲简谱

儿歌简谱[小英雄的家/童声合唱]

儿歌简谱[小英雄的家/童声合唱]

少儿歌谱

儿童歌曲简谱[月亮湖]李月英词 方翔曲

儿童歌曲简谱[月亮湖]李月英词 方翔曲

少儿歌谱

儿童歌曲简谱[我爱美丽的海珠]

儿童歌曲简谱[我爱美丽的海珠]

少儿歌谱

儿童歌曲简谱[侗家读书郎]阮居平词 刘念曲

儿童歌曲简谱[侗家读书郎]阮居平词 刘念曲

少儿歌谱

儿童乐谱《古镇朱家角》

儿童乐谱《古镇朱家角》

少儿歌谱

春之歌 | 巴基斯坦

春之歌 | 巴基斯坦

少儿歌谱

儿童歌曲简谱[骑马的孩子爱拉琴]华也词 冯奇曲

儿童歌曲简谱[骑马的孩子爱拉琴]华也词 冯奇曲

少儿歌谱

儿歌谱[猜船名/童声合唱]五线谱

儿歌谱[猜船名/童声合唱]五线谱

少儿歌谱

儿童歌曲简谱[留守娃娃也是宝]

儿童歌曲简谱[留守娃娃也是宝]

少儿歌谱

钢琴 吉他 长笛 电子琴 架子鼓 萨克斯 手风琴 口琴 陶笛 小提琴 单簧管 ukulele 小号 双簧管 圆号 长号 电钢琴 电吉他 贝司 风笛 口风琴 马林巴 竖琴 大提琴 竖笛
古筝 二胡 笛子 洞箫 古琴 中阮 葫芦丝 琵琶 巴乌 尺八 唢呐 板胡 高胡 京胡 柳琴 三弦 扬琴 月琴 马头琴
曲谱大全 戏曲学习 交响乐 歌剧学习 乐理知识 乐器种类 名家名曲 音乐百科 著名乐团 乐器考级