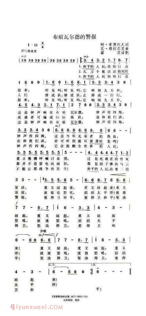
布痕伐尔德的警报 | 前苏联
佚名 网络布痕伐尔德的警报 | 前苏联高清简谱歌词是器乐学习网于2021年07月22日 17:26:19更新分享的外国歌谱;资源收录于外国歌谱栏目中;器乐学习网免费分享布痕伐尔德的警报 | 前苏联简谱与五线谱歌谱图片,欢迎在线免费下载;器乐学习网无需注册会员,直接免费下载各类乐器学习资源及乐谱。
 
  布痕伐尔德的警报 | 前苏联高清简谱歌词是器乐学习网于2021年07月22日 17:26:19更新分享的外国歌谱;资源收录于外国歌谱栏目中;器乐学习网免费分享布痕伐尔德的警报 | 前苏联简谱与五线谱歌谱图片,欢迎在线免费下载;器乐学习网无需注册会员,直接免费下载各类乐器学习资源及乐谱。
