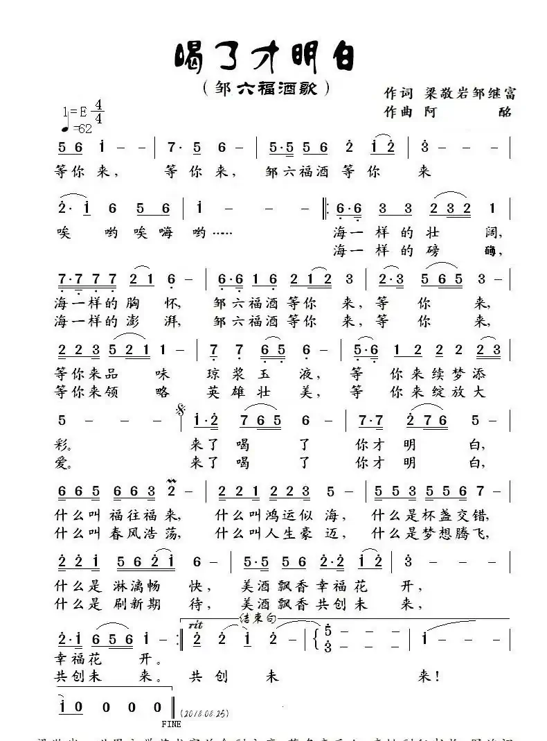
【邹六福酒歌】喝了才明白-乔军曲谱简谱,【邹六福酒歌】喝了才明白-乔军五线谱图片
器乐学习网 qiyuexuexi.com【邹六福酒歌】喝了才明白-乔军曲谱简谱,【邹六福酒歌】喝了才明白-乔军五线谱图片高清简谱歌词是器乐学习网于2025年04月19日 12:41:08更新分享的歌曲简谱;资源收录于歌曲简谱栏目中;器乐学习网免费分享【邹六福酒歌】喝了才明白-乔军曲谱简谱,【邹六福酒歌】喝了才明白-乔军五线谱图片简谱与五线谱歌谱图片,欢迎在线免费下载;器乐学习网无需注册会员,直接免费下载各类乐器学习资源及乐谱。


