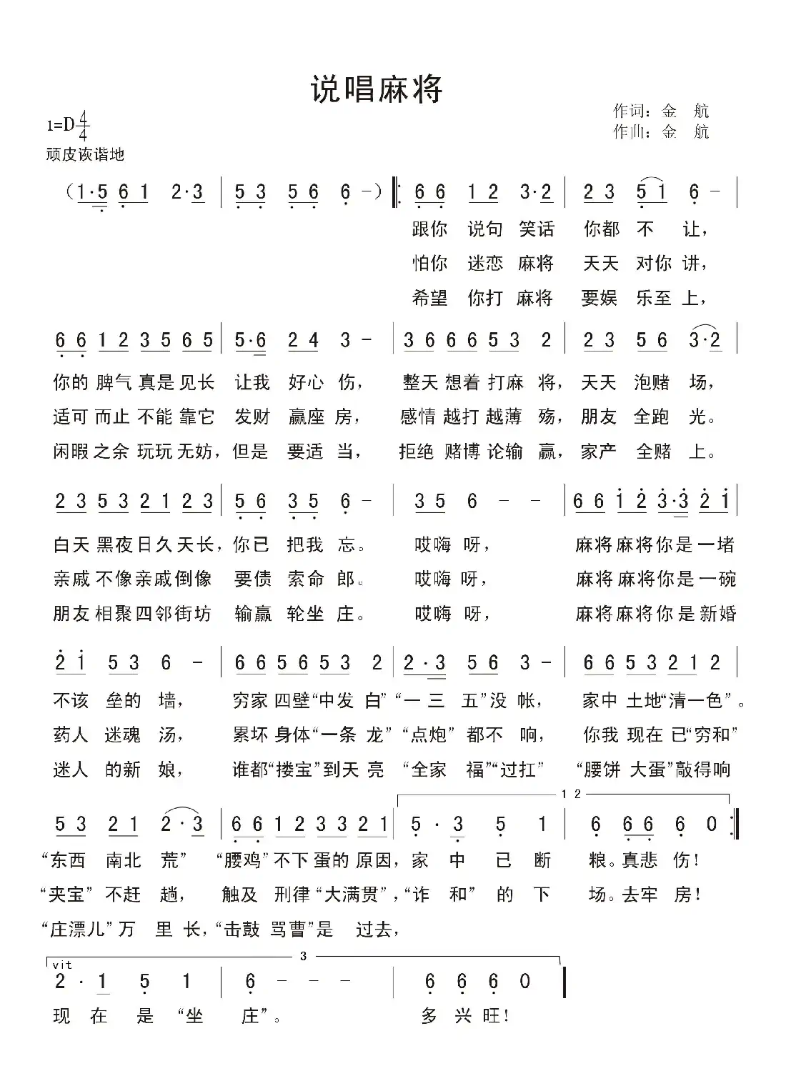
说唱麻将歌曲简谱,说唱麻将五线谱图片
器乐学习网 qiyuexuexi.com说唱麻将歌曲简谱,说唱麻将五线谱图片高清简谱歌词是器乐学习网于2025年04月01日 10:40:41更新分享的歌谱下载;资源收录于歌谱下载栏目中;器乐学习网免费分享说唱麻将歌曲简谱,说唱麻将五线谱图片简谱与五线谱歌谱图片,欢迎在线免费下载;器乐学习网无需注册会员,直接免费下载各类乐器学习资源及乐谱。

说唱麻将歌曲简谱,说唱麻将五线谱图片高清简谱歌词是器乐学习网于2025年04月01日 10:40:41更新分享的歌谱下载;资源收录于歌谱下载栏目中;器乐学习网免费分享说唱麻将歌曲简谱,说唱麻将五线谱图片简谱与五线谱歌谱图片,欢迎在线免费下载;器乐学习网无需注册会员,直接免费下载各类乐器学习资源及乐谱。
