小蜗牛乐曲简谱,小蜗牛五线谱图片
器乐学习网 qiyuexuexi.com小蜗牛乐曲简谱,小蜗牛五线谱图片高清简谱歌词是器乐学习网于2025年03月31日 12:38:03更新分享的歌谱专题;资源收录于歌谱专题栏目中;器乐学习网免费分享小蜗牛乐曲简谱,小蜗牛五线谱图片简谱与五线谱歌谱图片,欢迎在线免费下载;器乐学习网无需注册会员,直接免费下载各类乐器学习资源及乐谱。
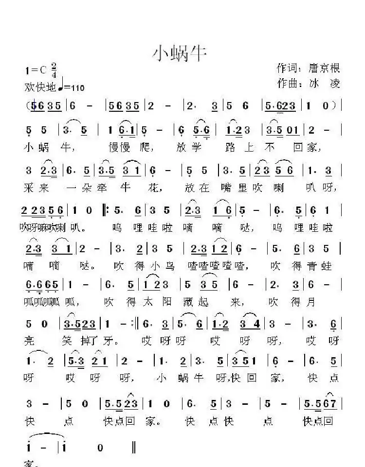
《小蜗牛》文本歌词
<小蜗牛>小蜗牛 慢慢爬
放学路上不想家
采来一朵牵牛花
放在嘴里吹喇叭
呜哩哇啦嘀嘀哒
吹得小鸟喳喳喳
吹得青蛙呱呱呱
吹得太阳藏起来
吹得月亮笑掉了牙
哎呀呀,哎呀呀
小蜗牛 快回家
快点快点快回家

![合唱歌曲[圣火之光/电视系列片/力的聚合主题歌]简谱](http://m.qiyuexuexi.com/templets/default/img_2022/img_loading.gif)