最美的男人是爸爸乐曲简谱,最美的男人是爸爸五线谱图片
器乐学习网 qiyuexuexi.com最美的男人是爸爸乐曲简谱,最美的男人是爸爸五线谱图片高清简谱歌词是器乐学习网于2025年03月22日 12:16:25更新分享的歌谱专题;资源收录于歌谱专题栏目中;器乐学习网免费分享最美的男人是爸爸乐曲简谱,最美的男人是爸爸五线谱图片简谱与五线谱歌谱图片,欢迎在线免费下载;器乐学习网无需注册会员,直接免费下载各类乐器学习资源及乐谱。
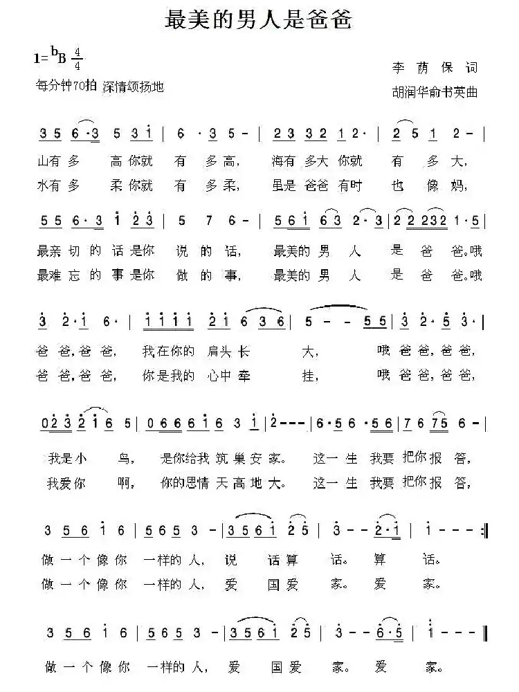
《最美的男人是爸爸》文本歌词
最美的男人是爸爸
作词:李荫保
作曲:胡润华 方舟
编曲:胡润华
演唱:黄涛
山有多高你就有多高,
海有多大你就有多大,
最亲切的话是你说的话,
最美的男人是爸爸。
哦爸爸,爸爸,
我在你的肩头长大,
哦爸爸,爸爸,
我是小鸟,
是你给我筑巢安家。
这一生我要把你报答,
做一个像你一样的人,
说话算话。
水有多柔你就有多柔,
虽是爸爸有时也像妈,
最难忘的事是你做的事,
最美的男人是爸爸。
哦爸爸,爸爸,
你是我的心中牵挂,
哦爸爸,爸爸,
我爱你啊,
你的恩情天高地大。
这一生我要把你报答,
做一个像你一样的人,
爱国爱家。

![合唱歌曲[长江,不眠的江]简谱](http://m.qiyuexuexi.com/templets/default/img_2022/img_loading.gif)